| Estado de Disponibilidad: | |
|---|---|
| Cantidad: | |
ATMP 50%
SINOBIO
29319090
El ácido fosfónico amino trimetileno (ATMP), con CAS No. 6419-19-8, es un químico de tratamiento de agua premium diseñado por SINOBIO, un nombre confiable en la fabricación de productos químicos industriales. Como miembro clave de la familia de ácido organofosfosfónico, ATMP 50% está formulado para ofrecer una inhibición de escala excepcional, protección de corrosión y rendimiento de quelación, lo que lo hace indispensable para varias aplicaciones industriales.
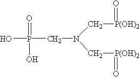
Con una fórmula molecular de N (Ch₂po₃h₂) ₃ y un peso molecular de 299.05, esta solución líquida (modelo: ATMP 50%) cumple con los estrictos estándares de calidad, asegurando la confiabilidad y la consistencia en cada lote. Clasificado bajo la ONU 3265 8/pg III para el transporte y el manejo seguros, está diseñado para optimizar la eficiencia operativa en los sistemas de agua al tiempo que se extiende la vida útil de los equipos industriales.
ATMP 50% se destaca por sus propiedades químicas únicas, que lo convierten en una solución versátil para desafíos de tratamiento de agua complejos:
Inhibición superior de quelación e escala : su fuerte capacidad de quelación se dirige a los iones metálicos (p. Ej., Calcio, magnesio) en el agua, evitando la formación de escala, particularmente carbonato de calcio, una de las escalas más comunes y problemáticas en los sistemas industriales.
Estabilidad química excepcional : resistente a la hidrólisis, incluso en condiciones de agua aares, ATMP 50% mantiene su efectividad en una amplia gama de temperaturas y niveles de pH, lo que garantiza un rendimiento a largo plazo.
Inhibición de corrosión potente : a concentraciones más altas, forma una película protectora en superficies metálicas, equipos de protección y tuberías de la corrosión en entornos agresivos como centrales eléctricas y refinerías de petróleo.
Las siguientes especificaciones garantizan la calidad y el rendimiento de SINOBIO ATMP 50%:
Artículo | Estándar |
Apariencia | Solución acuosa clara, incolora a amarillo pálido |
Contenido de ácido activo | 50.0% min |
Cloruro (como cl⁻) | 1.0% máx. |
pH (solución de agua al 1%) | 2.0 Max |
Hierro (Fe) | 20.0 mg/l max |
Densidad (20 ° C) | 1.30 g/cm³ min |
ATMP 50% se usa ampliamente en todas las industrias para sus beneficios multifuncionales:
En las centrales eléctricas térmicas, las refinerías y las instalaciones de fabricación, el 50% de ATMP controla la acumulación de escala en torres de enfriamiento e intercambiadores de calor, reduciendo los costos de consumo de energía y mantenimiento. Funciona sinérgicamente con otros ácidos organofosfónicos, ácidos policarboxílicos y sales para formar formulaciones completas de tratamiento de agua alcalina orgánica, adaptables a diversas condiciones del sistema.
Para los sistemas de inyección de agua en el campo petrolero y las redes de tuberías, ATMP 50% inhibe la corrosión y la escala, asegurando el flujo sin obstáculos y protegiendo la costosa infraestructura de la degradación. Esto minimiza el tiempo de inactividad y extiende la vida operativa de los activos críticos.
Como agente quelante de alto rendimiento, estabiliza las soluciones de tinte secuestrando iones metálicos, evitando la decoloración y garantizando la absorción de tinte uniforme, mejorando así la calidad del producto en la fabricación textil.
ATMP 50% se usa en procesos de pretratamiento de metales para eliminar los óxidos y formar una capa protectora, mejorando la adhesión para recubrimientos y evitando la corrosión posterior al tratamiento.
Dosis recomendada : 5–20 mg/L para la inhibición de la escala general; 20–80 mg/L para una mejor protección contra la corrosión.
Opciones de embalaje : Disponible en tambores de 250 kg (20 mt por 20 gp con paletas) o 1250 kg de bolsas IBC (25 mt por 20 'GP). El embalaje personalizado está disponible a pedido.
Almacenamiento : almacene en un área fría, seca y bien ventilada. La vida útil es de 1 año cuando se almacena correctamente.
SINOBIO ATMP 50% (CAS 6419-19-8) es más que un químico: es una solución diseñada para optimizar las operaciones industriales, reducir los costos y garantizar la sostenibilidad. Confía en la experiencia de SINOBIO para elevar los procesos de tratamiento de agua e inhibición de la corrosión.


El ácido fosfónico amino trimetileno (ATMP), con CAS No. 6419-19-8, es un químico de tratamiento de agua premium diseñado por SINOBIO, un nombre confiable en la fabricación de productos químicos industriales. Como miembro clave de la familia de ácido organofosfosfónico, ATMP 50% está formulado para ofrecer una inhibición de escala excepcional, protección de corrosión y rendimiento de quelación, lo que lo hace indispensable para varias aplicaciones industriales.
Con una fórmula molecular de N (Ch₂po₃h₂) ₃ y un peso molecular de 299.05, esta solución líquida (modelo: ATMP 50%) cumple con los estrictos estándares de calidad, asegurando la confiabilidad y la consistencia en cada lote. Clasificado bajo la ONU 3265 8/pg III para el transporte y el manejo seguros, está diseñado para optimizar la eficiencia operativa en los sistemas de agua al tiempo que se extiende la vida útil de los equipos industriales.
ATMP 50% se destaca por sus propiedades químicas únicas, que lo convierten en una solución versátil para desafíos de tratamiento de agua complejos:
Inhibición superior de quelación e escala : su fuerte capacidad de quelación se dirige a los iones metálicos (p. Ej., Calcio, magnesio) en el agua, evitando la formación de escala, particularmente carbonato de calcio, una de las escalas más comunes y problemáticas en los sistemas industriales.
Estabilidad química excepcional : resistente a la hidrólisis, incluso en condiciones de agua aares, ATMP 50% mantiene su efectividad en una amplia gama de temperaturas y niveles de pH, lo que garantiza un rendimiento a largo plazo.
Inhibición de corrosión potente : a concentraciones más altas, forma una película protectora en superficies metálicas, equipos de protección y tuberías de la corrosión en entornos agresivos como centrales eléctricas y refinerías de petróleo.
Las siguientes especificaciones garantizan la calidad y el rendimiento de SINOBIO ATMP 50%:
Artículo | Estándar |
Apariencia | Solución acuosa clara, incolora a amarillo pálido |
Contenido de ácido activo | 50.0% min |
Cloruro (como cl⁻) | 1.0% máx. |
pH (solución de agua al 1%) | 2.0 Max |
Hierro (Fe) | 20.0 mg/l max |
Densidad (20 ° C) | 1.30 g/cm³ min |
ATMP 50% se usa ampliamente en todas las industrias para sus beneficios multifuncionales:
En las centrales eléctricas térmicas, las refinerías y las instalaciones de fabricación, el 50% de ATMP controla la acumulación de escala en torres de enfriamiento e intercambiadores de calor, reduciendo los costos de consumo de energía y mantenimiento. Funciona sinérgicamente con otros ácidos organofosfónicos, ácidos policarboxílicos y sales para formar formulaciones completas de tratamiento de agua alcalina orgánica, adaptables a diversas condiciones del sistema.
Para los sistemas de inyección de agua en el campo petrolero y las redes de tuberías, ATMP 50% inhibe la corrosión y la escala, asegurando el flujo sin obstáculos y protegiendo la costosa infraestructura de la degradación. Esto minimiza el tiempo de inactividad y extiende la vida operativa de los activos críticos.
Como agente quelante de alto rendimiento, estabiliza las soluciones de tinte secuestrando iones metálicos, evitando la decoloración y garantizando la absorción de tinte uniforme, mejorando así la calidad del producto en la fabricación textil.
ATMP 50% se usa en procesos de pretratamiento de metales para eliminar los óxidos y formar una capa protectora, mejorando la adhesión para recubrimientos y evitando la corrosión posterior al tratamiento.
Dosis recomendada : 5–20 mg/L para la inhibición de la escala general; 20–80 mg/L para una mejor protección contra la corrosión.
Opciones de embalaje : Disponible en tambores de 250 kg (20 mt por 20 gp con paletas) o 1250 kg de bolsas IBC (25 mt por 20 'GP). El embalaje personalizado está disponible a pedido.
Almacenamiento : almacene en un área fría, seca y bien ventilada. La vida útil es de 1 año cuando se almacena correctamente.
SINOBIO ATMP 50% (CAS 6419-19-8) es más que un químico: es una solución diseñada para optimizar las operaciones industriales, reducir los costos y garantizar la sostenibilidad. Confía en la experiencia de SINOBIO para elevar los procesos de tratamiento de agua e inhibición de la corrosión.

